Реални бројеви
Квадрат рационалног броја. Једначина x²=a, a>0;
Квадратни корен рационалног броја- квиз;
Операције са коренима – три питања;
Степен и корен, примена апсолутне вредности;
Децимални запис реалног броја – квиз;
Приближно представљање реалних бројева у децималном запису;
Једна необична припрема за контролни тест;
Рационални бројеви на реалној правој;
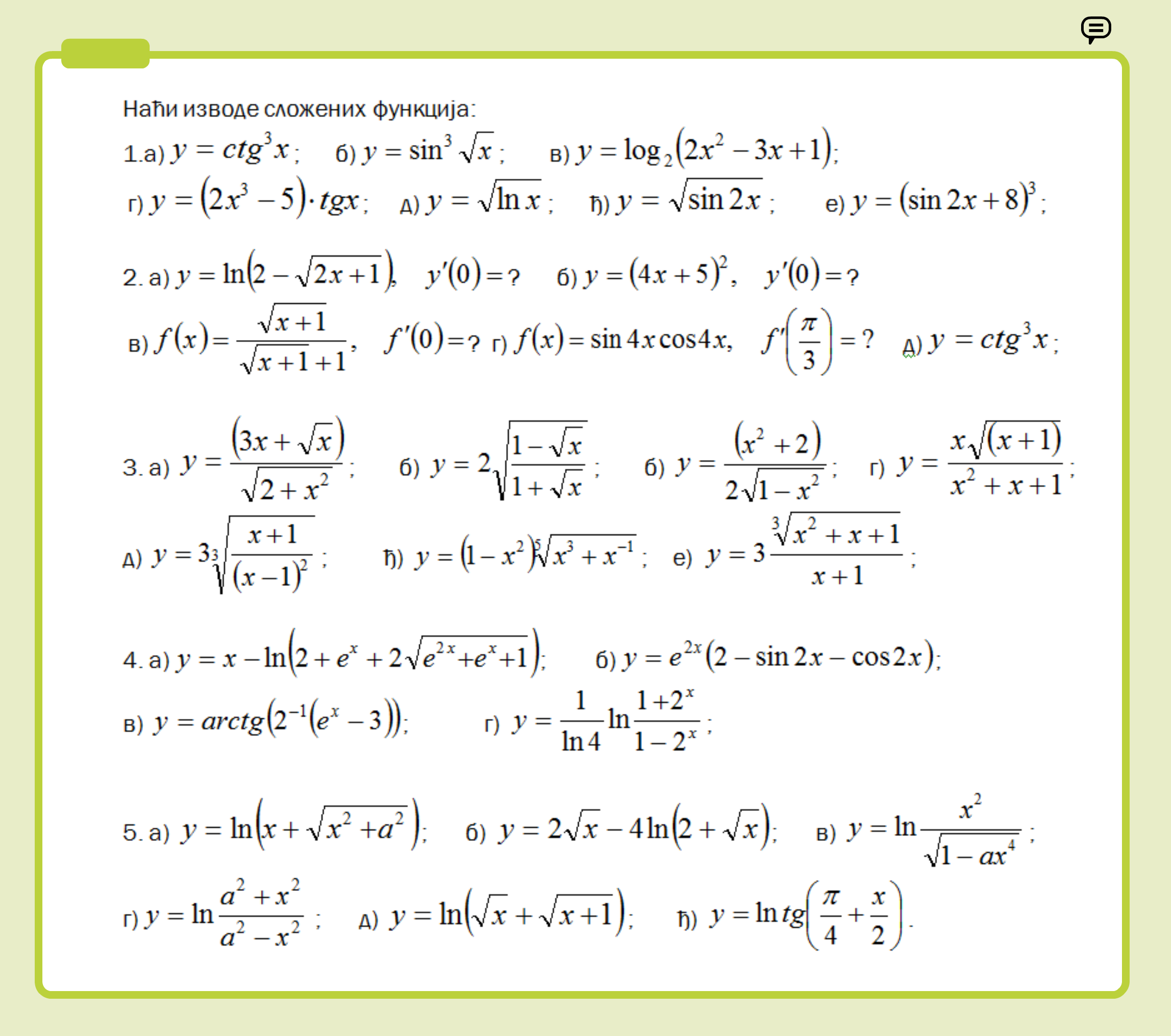
OneNote припрема за први писмени задатак;
Рационални и алгебарски изрази
Степен чији је изложилац природан број;
Степен чији је изложилац цео број;
Раставити на чиниоце квадратни трином;
OneNote документ припрема за контролне провере знања;
Неке основне функције
Елементарни задаци са целим бројевима
Логичко комбинаторни задаци
Писмене вежбе
I II III IV
30.09.2019. 23.12.2019. 04.2020. 05.2020.
Писмени задаци
I II III IV
29.10.2019. 17.01.2020. 04.2020. 06.2020.
Са часа Одељењске заједнице








